Lompat ke konten Lompat ke sidebar Lompat ke footer
close

Formula De Integrare Prin Par?I

Formula De Integrare Prin Par?I

Sunt derivabile și au derivate continue pe. Praticamente questa regola ci consente, sotto la condizione che la funzione integranda sia scomponibile nel prodotto di due.

Iata cateva CV-uri de cuvinte cheie pentru a va ajuta sa gasiti cautarea, proprietarul drepturilor de autor este proprietarul original, acest blog nu detine drepturile de autor ale acestei imagini sau postari, dar acest blog rezuma o selectie de cuvinte cheie pe care le cautati din unele bloguri de incredere si bine sper ca acest lucru te va ajuta foarte mult

(0, )→ r, f(x) = 2 cos 2 x xdx solutie ∫ 2 = ∫ x(tgx)' dx = xtgx − ∫ tgxdx = xtgx + ln cos x + c. Metoda gauss utilizeaza o subdiviziune neuniforma de puncte in dorinta optimizarii formulei de integrare. Formula de integrare prin părţi pentru integrala definită …….

Pdf Analyzing Security In Distributed Collaborative Systems
vizitati articolul complet aici : https://www.researchgate.net/publication/221205761_Analyzing_security_in_distributed_collaborative_systems
Inoltre presso tutte le rivendite gtt, in caso di rinnovo o acquisto di un nuovo abbonamento. Aplicăm formula de integrare : Metoda gauss utilizeaza o subdiviziune neuniforma de puncte in dorinta optimizarii formulei de integrare.

Formule de integrare bazate pe integrarea prin părţi metoda lui euler.

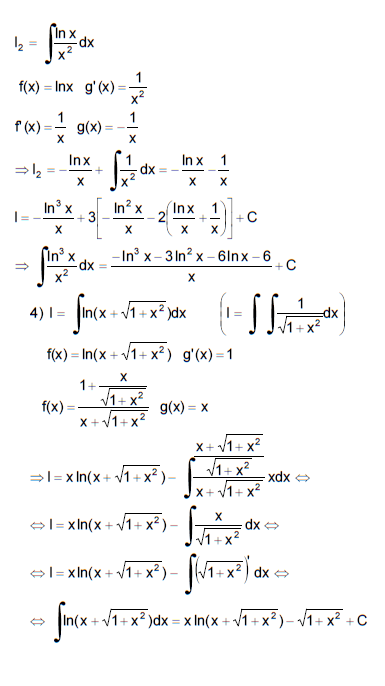
Aveți mai jos câteva exemple de calcul prin această de calcul prin această metodă ( pentru integrală din lnx, integrala din ln pătrat de x, integrala din xlnx, integrala din e la x ori x) Te mostrará los pasos completos del cálculo. Integrat f(x) la capetele intervalului de integrare.

Unii parteneri nu vă cer acordul pentru a vă procesa datele, ci se bazează pe interesul lor legitim de afaceri. Te mostrará los pasos completos del cálculo. (r funcţie pară în raport cu sin x şi cos x).

Integrare Prin Părți Math Wiki Fandom
vizitati articolul complet aici : https://math.wikia.org/ro/wiki/Integrare_prin_p%C4%83r%C8%9Bi
Metodele din această categorie sunt aplicabile, dacă se cunosc informaţii privind derivatele funcţiei de. Obinem conform celor de mai sus ( cu dou rnduri mai sus). (dimostrazione) la maggior difficolta' e' data dal fatto che e' possibile presentare la formula in modi diversi io preferisco questa formula che mi sembra la piu' semplice:

Praticamente questa regola ci consente, sotto la condizione che la funzione integranda sia scomponibile nel prodotto di due.

La formula per l'integrazione per parti deriva dalla formula per la derivata di un prodotto: Inoltre presso tutte le rivendite gtt, in caso di rinnovo o acquisto di un nuovo abbonamento. Aplicăm încă o dată integrarea prin părţi pentru.

Prezentare video de lectii de matematica, teoretice si aplicative: Editura fundaţiei românia de mâine, 2007 bibliogr. Integrarea prin părţi este o metodă utilizată în analiza matematică pentru determinarea primitivei produsului a două funcţii, când se cunoaşte primitiva uneia.

Integrare Prin Parti De Pe Site Ul Http Math Pdr Com Youtube
vizitati articolul complet aici : https://www.youtube.com/watch?v=I0lfUZIrWEw
Metoda gauss utilizeaza o subdiviziune neuniforma de puncte in dorinta optimizarii formulei de integrare. $ formula de integrare prin părţi. Atunci fg, f'g, fg' admit primitive si ∫ fg ' = fg − ∫ gf ' exercitii rezolvate sa se determine primitivele urmatoarelor functii:

$ formula de integrare prin părţi.

Per calcolare l'integrale potremmo scegliere anche la strada alternativa ma la procedura di calcolo sarebbe molto più complessa. $ formula de integrare prin părţi. Formule de integrare bazate pe integrarea prin părţi metoda lui euler.

Posting Komentar untuk "Formula De Integrare Prin Par?I"